编辑:物联网工程学院
发布时间:2024-05-07
浏览次数:
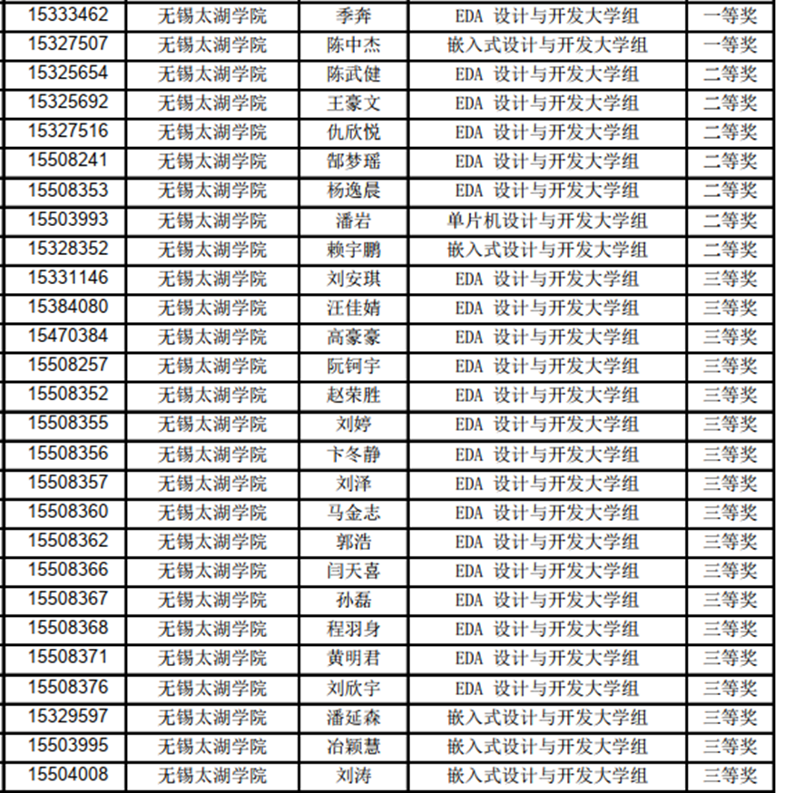
近日,由工业和信息化部人才交流中心主办的第十五届蓝桥杯全国软件和信息技术专业人才大赛省赛获奖名单公布。我院与来自北京大学、清华大学、复旦大学、上海交通大学等1900多所高校的23万名选手同台竞技,在C/C++、Java、Python、单片机、嵌入式、物联网、EDA等八大竞赛科目中进行了激烈比拼,斩获了一等奖4项,二等奖14项,三等奖42项。其中计耀晨、李浩等同学获得软件类C/C++程序设计一等奖;黄伟军、刘炜坤等同学获得Python组一等奖;陈中杰等同学获得嵌入式组一等奖;季奔等同学获得EDA设计与开发一等奖。

“蓝桥杯”大赛由工业和信息化部人才交流中心、教育部全国高等学校学生信息咨询与就业指导中心联合举办、国信蓝桥教育科技(北京)股份有限公司承办的一项全国高校大学生IT学科竞赛,是国内权威性高、覆盖面广、影响力大的IT类专业赛事。已连续五年入选“全国普通高校大学生竞赛排行榜”竞赛项目榜单,是教育部认可的重点赛事之一,也是评价高校教育教学改革和创新人才培养的重要竞赛项目。
物联网工程学院坚持通过各类学科竞赛培养创新人才,不断创新教学模式激发学生对程序设计、电路设计和单片机开发的兴趣,培养学生的创新思维、竞争意识与实践能力。此次佳绩,彰显了学院过硬的教学实力,践行了以赛促学、以赛促教的理念,促进了教学内容与职业需求的有效对接,不断深化新工科人才培养的特色路径。


为统一思想、明确任务、压实责任,确保新学期各项工作开好局、起好步,近日,物联网工程学院召开新学期动员大会。学院常务副院长成本茂、党总支副书记沈峰、副院长王华君、副院长尹嵘出席会议,全体教职工参加。会上,学院领导班子成员依次结合分管领域,对新学期重点工作进行全面部署与安排。首先,常务副院长成本茂全面部署新学期学院整体发展与行政运行工作,明确新学期发展目标与重点任务,统筹推进学科建设、人才培养、师资队伍、...
为了帮助学生更好的了解职场问题和职场法律,12月28日下午,无锡市司法局普法讲座在大学生活动中心A顺利开展。本次讲座由律师陈波主讲,文法学院党总支副书记俞昊波与文法学院法学系师生共同参与,沉浸式汲取职场法律知识与成长经验。...
为了搭建跨文化交流桥梁,推动中华优秀传统文化走向世界,12月18日下午,第六届“用英语讲中国故事”大会无锡选区启动仪式在best365英国在线体育官网大学生活动中心A顺利举行。本次活动由中国教育电视台与新航道国际教育集团联合主办,...